Satzung über die Hausmüllentsorgung der Landeshauptstadt München (Hausmüllentsorgungssatzung)
vom 12. Dezember 2001
Stadtratsbeschluss: 22.11.2001
Bekanntmachung: 20.12.2001 (MüABl. S. 529)
Änderungen:
24.07.2002
(MüABl. S. 501)
24.06.2003 (MüABl. S. 200)
18.02.2004 (MüABl. S. 51)
13.10.2004 (MüABl. S. 371, ber.
S. 417 und MüABl. 2005, S. 22)
06.12.2005 (MüABl. S. 508)
28.03.2006 (MüABl. S. 118)
14.11.2006 (MüABl. S. 458)
05.05.2008 (MüABl. S. 436)
07.12.2009 (MüABl. S. 439)
03.12.2010 (MüABl. S. 379)
18.11.2012 (MüABl. S. 422)
15.01.2015 (MüABl. S. 10)
04.01.2017 (MüABl. S. 16)
03.11.2017 (MüABl. S. 485)
08.11.2018 (MüABl. S. 455)
16.06.2019 (MüABl. S. 258)
08.09.2021 (MüABl. S. 544)
08.01.2024 (MüABl. S. 48)
Die Landeshauptstadt München erlässt aufgrund von Art. 7 Abs. 1 Satz 1 bis 4 i. V. m. Art. 3 Abs. 1 des Gesetzes zur Vermeidung, Verwertung und sonstigen Entsorgung von Abfällen in Bayern (Bayerisches Abfallwirtschaftsgesetz – BayAbfG) in der Fassung der Bekanntmachung vom 09.08.1996 (GVBl. S. 396 ber. S. 449, BayRS 2129-2-1-U), geändert durch Gesetz vom 24.04.2001 (GVBl. S. 140) sowie der Art. 23 und 24 Abs. 1 Nr. 1 und 2 und Abs. 2 Satz 2 der Gemeindeordnung für den Freistaat Bayern (GO) in der Fassung der Bekanntmachung vom 22.08.1998 (GVBl. S 796, BayRS 2020-1-1-I), zuletzt geändert durch Gesetz vom 24.04.2001 (GVBl. S. 140), folgende Satzung:
§ 1 Aufgaben
(1)
Die vom Abfallwirtschaftsbetrieb München betriebene Hausmüllentsorgung der
Landeshauptstadt München (nachfolgend “Städtische Hausmüllentsorgung“ oder
“Stadt“ genannt) ist eine öffentliche Einrichtung der Stadt mit Anschluss- und
Benutzungszwang. Die Hausmüllentsorgung im Sinne dieser Satzung umfasst
Verwertungs- und Beseitigungsverfahren, einschließlich der Vorbereitung vor der
Verwertung oder Beseitigung sowie die hierzu erforderlichen Maßnahmen des
Bereitstellens, Überlassens, Einsammelns, Beförderns, Behandelns und Lagerns
der Abfälle zur Beseitigung und der von der Stadt eingesammelten Abfälle zur
Verwertung (nachfolgend “Wertstoffe“, z. B. Papierabfall Bioabfall).
(2)
Soweit sich aus den nachfolgenden Bestimmungen nichts anderes ergibt, gilt für
die Städtische Hausmüllentsorgung die Allgemeine Abfallsatzung in ihrer jeweils
gültigen Fassung.
(3) §
17 Abs. 2 Kreislaufwirtschaftsgesetz (KrWG) bleibt unberührt.
§ 1a. Abfallvermeidung
(1)
Jede/-r Benutzer*in der Städtischen Hausmüllentsorgung hat die Menge der bei ihr
oder ihm anfallenden Abfälle und ihren Schadstoffgehalt so gering wie nach den
Umständen möglich und zumutbar zu halten. Die Landeshauptstadt München berät
die Bürger*innen über die Möglichkeiten zur Vermeidung und Verwertung von
Abfällen; sie bestellt hierzu Abfallberater*innen.
(2) Die Stadt wirkt bei der Gestaltung
von Arbeitsabläufen in ihren Dienststellen und Einrichtungen und bei ihrem
sonstigen Handeln sowie bei Veranstaltungen in ihren Einrichtungen und auf
ihren Grundstücken darauf hin, dass möglichst wenig Hausmüll entsteht. Bei
Veranstaltungen, die auf Grundstücken oder in Einrichtungen der Stadt
durchgeführt werden, dürfen Speisen und Getränke nur in pfandpflichtigen,
wiederverwendbaren Verpackungen und Behältnissen sowie nur mit Mehrwegbesteck
ausgegeben werden; diese Pflicht gilt auch für Verkaufsflächen, die im Eigentum
der Stadt stehen sowie auf allen in der Baulast der Stadt stehenden Straßen,
Wege und Plätze mit ihren Bestandteilen im Sinne von Art. 2 BayStrWG
und § 1 Abs. 4 FStrG. Eventuelle Förderungen von Einrichtungen und
Veranstaltungen werden von der Einhaltung dieser Pflicht abhängig gemacht.
Ausnahmen von dieser Pflicht können nur in besonderen Einzelfällen zugelassen
werden. Im Rahmen ihrer Möglichkeiten veranlasst die Stadt, dass Gesellschaften
privaten Rechts, an denen sie beteiligt ist, entsprechend verfahren.
§ 2 Gegenstand der Satzung: Begriffsbestimmung
(1)
Von dieser Satzung erfasst wird im Rahmen des in § 3 Abs. 1 und 2 geregelten
Anschluss- und Benutzungszwanges Hausmüll aus Grundstücken jeder Nutzungsart.
Hausmüll sind Abfälle zur Verwertung und Abfälle zur Beseitigung aus privaten
Haushalten. Abfälle
aus anderen Herkunftsbereichen unterliegen ebenfalls der Hausmüllentsorgung,
soweit in dem jeweiligen Betrieb bzw. der Einrichtung bezogen auf das jeweilige
Anwesen nicht mehr als 1,1 m³/Woche gewerbliche Siedlungsabfälle zur
Beseitigung anfallen und eine Getrennthaltung und Verwertung gemäß
Gewerbeabfallverordnung aufgrund der geringen Mengen der Abfälle nicht zumutbar
ist (Kleinmengenregelung nach § 5 GewAbfV). In diesem
Fall können Gewerbebetriebe auf Antrag ihre Abfälle gemeinsam mit auf demselben
Grundstück ansässigen Privathaushalten entsorgen, sofern die getrennte
Erfassung der Wertstoffe sichergestellt ist (§ 3 Abs. 1 GewAbfV).
Lässt sich das Abfallvolumen nicht einwandfrei
feststellen, wird es von der Stadt verbindlich geschätzt.
(2)
Folgende Gegenstände und Stoffe, sofern sie nicht schon kraft Gesetzes oder
nach der Allgemeinen Abfallsatzung von der kommunalen Abfallentsorgung ganz
ausgeschlossen sind, werden von dieser Satzung nicht erfasst:
a)
Hausratsperrmüll oder
Problemabfälle im Sinne der Hausratsperrmüll-, Wertstoff- und
Problemmüllsatzung, dazu zählen auch Elektro- und Elektronik-Altgeräte;
b)
Gewerbe- und Bauabfall
im Sinne der Gewerbe- und Bauabfallentsorgungssatzung;
c)
Gartenabfälle im Sinne
der Gartenabfallentsorgungssatzung (ausgenommen haushaltsübliche Mengen, vgl.
Abs. 6);
(3) Besitzer*innen
des Hausmülls im Sinne dieser Satzung sind die in § 3 Abs. 1 und 2 genannten
Personen (bei pneumatischen Müllabsauganlagen s. Sonderregelung in § 8 Abs. 3).
(4)
Grundstück im Sinne dieser Satzung ist jedes Grundeigentum im Sinne des
Grundbuchrechts. Auf Grundstücken, auf denen sich ausschließlich Gebäude mit
nur einer Wohneinheit und mit eigener Hausnummer (z.B. Reihenhäuser,
Doppelhaushälften) befinden, können auch diese Grundstücksteile eigenständige
Anschlussobjekte darstellen, wenn im Übrigen der Anschluss des
Gesamtgrundstücks an die Städtische Hausmüllentsorgung gewährleistet ist.
Ferner können auch Gebäude, die sich über mehrere Grundstücke erstrecken, zu
einem einheitlichen Anschlussobjekt zusammengefasst werden, wenn sie in einem
Grundeigentum stehen und im Übrigen der komplette Anschluss sämtlicher
betroffener Grundstücke gewährleistet ist.
(5) Grundstückseigentümer*innen
im Sinne dieser Satzung stehen Erbbauberechtigte und Nießbraucher eines
Grundstücks gleich. Von mehreren Berechtigten ist jede/-r berechtigt und
verpflichtet; sie sind Gesamtschuldner.
(6)
Bioabfälle sind solche im Sinne des § 3 Abs. 7 KrWG. Gartenabfälle im Sinne der
Gartenabfallentsorgungssatzung sind nur in haushaltsüblichen Mengen erfasst.
§ 3 Anschluss- und Benutzungszwang; Anschlussgebiet
(1)
Anschlusszwang für Hausmüll im Sinne von § 2 Abs. 1 Sätze 2 bis 4 besteht für
die Eigentümer*innen sämtlicher im Anschlussgebiet liegenden Grundstücke, auf
denen Bauwerke errichtet sind, bei deren Benützung Hausmüll anfallen kann.
Soweit an Bauwerken wirtschaftliches Eigentum im Sinne des § 39 der
Abgabenordnung vorliegt, besteht Anschlusszwang für die bzw. den
wirtschaftliche*n Eigentümer*in dieser Bauwerke.
Anschlusszwang besteht auch für die Eigentümer*innen unbebauter Grundstücke,
auf denen – u.U. auch mit saisonbedingten Unterbrechungen – regelmäßig
Hausmüll anfällt. Ist an einem Grundstück ein Erbbaurecht oder ein Nießbrauch
bestellt, so ist anstelle der Eigentümerin bzw. des Eigentümers die oder der
Erbbauberechtigte die oder der Nießbraucher*in zum Anschluss verpflichtet. Die
Grundstücke bzw. Bauwerke der Anschlusspflichtigen im Sinne der Sätze 1 bis 4
(nachfolgend “Grundstücke“ genannt) müssen nach Maßgabe der nachfolgenden
Bestimmungen so mit Müll- und Wertstoffbehältern ausgestattet sein, dass die
Städtische Hausmüllentsorgung ihre Aufgabe gemäß § 1 Abs. 1 und 2 jederzeit
wahrnehmen kann. Vom Anschlusszwang befreit sind die in den Sätzen 1 bis 4
genannten Personen, bei denen der gesamte auf ihrem Grundstück oder sonst
anfallende Hausmüll in Unterflurbehältern auf öffentlichem Grund anzusammeln
ist.
(2)
Die Anschlusspflichtigen und sonstige zur Nutzung des anschlusspflichtigen
Grundstücks Berechtigten, insbesondere Mieter*innen und Pächter*innen, haben
den gesamten auf ihren Grundstücken oder sonst bei ihnen anfallenden Hausmüll
nach Maßgabe der nachfolgenden Bestimmungen der Städtischen Hausmüllentsorgung
zu überlassen (Benutzungszwang). Soweit auf nicht anschlusspflichtigen
Grundstücken Hausmüll anfällt, ist dieser von der bzw. dem Besitzer*in unverzüglich
und in geeigneter Weise der Städtischen Hausmüllentsorgung zu überlassen,
insbesondere in Unterflurbehältern auf öffentlichem Grund; § 17 Abs. 1 Satz 1
KrWG und Art. 31 des Bayer. Abfallwirtschaftsgesetzes vom 09. August 1996
bleiben unberührt. Fällt Hausmüll auf Grundstücken aus besonderem Anlass nur in
unregelmäßigen Abständen oder vorübergehend an (z. B. bei Veranstaltungen,
Volksfesten, auf Baustellen u. ä.), kann die Stadt im Einzelfall den Anschluss
und die Benutzung von zugelassenen Müllbehältern (vgl. § 5 Abs. 1) auch
gegenüber Personen anordnen, die nicht Eigentümer*in des Grundstücks
sind (z. B. Veranstalter*in); hierbei finden die Vorschriften dieser Satzung
entsprechende Anwendung.
(3) Das Anschlussgebiet im Sinne des § 1 Abs. 1 Satz 2 umfasst das gesamte Stadtgebiet.
(4) Fällt in einem Gewerbebetrieb neben Gewerbemüll nur in geringen Mengen Hausmüll an und ist für die oder den Gewerbebetriebsinhaber eine gesonderte Bereitstellung dieses Hausmülls unzumutbar, stellt die Stadt auf Antrag den Anschlusspflichtigen im Sinne des Abs. 1 widerruflich für diesen Hausmüll vom Anschluss- und Benutzungszwang für die Städtische Hausmüllentsorgung frei; dieser Hausmüll ist dann zusammen mit dem Gewerbemüll nach Maßgabe der Gewerbe- und Bauabfallentsorgungssatzung zu beseitigen. Die Befreiung nach Satz 1 wird unter der Bedingung ausgesprochen, dass sich das in Satz 1 genannte Mengenverhältnis zwischen Haus- und Gewerbemüll nicht entscheidend verändert und die ordnungsgemäße Entsorgung des Hausmülls in der genannten Weise laufend gewährleistet ist; die Stadt ist berechtigt, die Einhaltung dieser Verpflichtungen laufend zu überwachen. Die Pflichtigen haben der Stadt umgehend zu melden, wenn der in Satz 1 genannte Hausmüll gegenüber dem Gewerbemüll entscheidend zunimmt oder wenn bei dieser Beseitigung Störungen auftreten.
§ 4 Pflichten der Hausmüllbesitzer*innen
(1)
Die benutzungspflichtigen Hausmüllbesitzer*innen im Sinne des § 3 Abs. 2 haben
den Hausmüll nach den Vorschriften dieser Satzung der Städtischen
Hausmüllentsorgung zu überlassen. Diesen Pflichtigen ist verboten, den Hausmüll
unzulässig zu behandeln, zu lagern oder abzulagern; verboten ist auch, ihn im
eigenen Grundstück (z. B. durch Verbrennung im Freien bzw. in Öfen oder durch
Vergraben oder Verrotten) zu beseitigen. Ihnen ist ferner verboten, dem Hausmüll
Gegenstände oder Stoffe beizufügen, die nach der Allgemeinen Abfallsatzung von
der kommunalen Entsorgung ganz ausgeschlossen sind (Vollausschluss) oder die
nach § 2 Abs. 2 nicht von der Städtischen Hausmüllentsorgung erfasst werden;
dies gilt auch für Altöl aus privaten Haushaltungen. Bei Verstößen gegen dieses
Verbot kann die Stadt durch Einzelanordnung nach § 11 die erforderlichen
Maßnahmen treffen.
(2)
Unbehandelte pflanzliche Küchenabfälle (z.B. Gemüse-, Obst- und Blumenabfall)
sowie Gartenabfälle (z.B. Laub, Gras ...) dürfen, sofern sie wegen
nachweislicher Eigenkompostierung auf dem eigenen anschlusspflichtigen
Grundstück nicht der Städtischen Hausmüllentsorgung übergeben werden, nur durch
Verrotten im Garten der Abfallbesitzer*innen verwertet werden; eine im
Verhältnis zum Aufkommen pflanzlicher Abfälle ausreichend große Gartenfläche
muss vorhanden sein. Durch geeignete Vorkehrungen ist sicherzustellen, dass
eine Geruchs- und Ungezieferbelästigung vermieden wird.
(3)
Mit den nachfolgend genannten, für Menschen gefährlichen Abfällen aus
Einrichtungen des Gesundheitsdienstes, wie z. B. Arztpraxen, Zahnarztpraxen,
Tierarztpraxen, Tierheimen, Tierversuchsanlagen, Laboratorien, Apotheken u. ä.
Herkunftsorten ist bei der Anlieferung zu den städtischen Abfallentsorgungsanlagen,
sofern ein Ausschluss nach der Allgemeinen Abfallsatzung nicht vorliegt,
folgendermaßen zu verfahren:
a)
Spritzen, Kanülen, Hämostiletten, Skalpelle und sonstige spitze
oder scharfkantige Gegenstände sowie
b)
Objektträger,
Deckgläser, Reagenzgläser und sonstige zerbrechliche Gegenstände aus Glas
einschließlich Glasbruch aller Art sind zunächst in festen, mit Deckeln
versehenen Behältern aus Kunststoff (Fassungsvermögen etwa 1,5 l), zu
verpacken.
Diese
Behälter sind wiederum
c)
gegebenenfalls
zusammen mit Verbandsmaterial, Tupfern, Spateln, Pappbechern und sonstigen
durch Berührung mit Blut, Speichel oder Ausscheidungen von Menschen oder Tieren
verunreinigten Abfällen in rote PE-Plastiksäcke mit mindestens 0,08 mm
Wandstärke, max. 80 Liter Volumen, möglichst flüssigkeitsdicht mit Kabelbinder
oder Drilldraht zugebunden, zu verpacken. Die Verwendung eines anderen Sacktypes kann unter Vorlage der Angaben zur Dicke,
Reißfestigkeit und Reißdehnung des Materials im Einzelfall genehmigt werden.
Die
oder der Abfallbesitzer*in hat in jedem Fall sicherzustellen, dass niemand
durch die eingesammelten oder zum Transport bereitgestellten Abfälle gefährdet
wird. Die Stadt kann im Einzelfall oder durch öffentliche Bekanntmachung
vorschreiben, dass die Einsammel- bzw. Transportgefäße verschließbar sein
müssen, oder dass sie in einem abschließbaren Raum unterzubringen sind. Soweit
die Stadt eine Entsorgung der vorgenannten Abfälle im Rahmen dieser Satzung
gestattet, gelten die Sätze 1 bis 5 entsprechend.
§ 5 Müllbeseitigung
(1)
Der Hausmüll ist ausschließlich in Müllbehältern anzusammeln, die in ihrer
Beschaffenheit und in ihren Maßen folgenden Anforderungen entsprechen müssen:
a)
Fahrbare Behälter mit
zwei Rädern und einem Volumen von 80 Litern für Kammschüttungen (DIN EN 840-1*,
Farbe: dunkelgrau);
b)
Fahrbare Behälter mit
zwei Rädern und einem Volumen von 120 Litern für Kammschüttungen
(DIN EN 840-1*, Farbe: dunkelgrau);
c)
Fahrbare Behälter mit
zwei Rädern und einem Volumen von 240 Litern für Kammschüttungen
(DIN EN 840-1*, Farbe: dunkelgrau);
d)
Fahrbare Behälter mit
vier Rädern und einem Volumen von 770 und 1.100 Litern mit Flachdeckeln für
Kammschüttungen (DIN EN 840-2*, Farbe: dunkelgrau);
Fahrbare Behälter mit vier Rädern und einem Volumen von 770 und 1.100 Litern
mit Flachdeckeln für Kammschüttungen (DIN EN 840-2*, Farbe: dunkelgrau);
Die Müllgroßbehälter aus Stahl („Modell München“) werden
von der Stadt sukzessive durch Behälter nach DIN EN 840-2* ersetzt. Dabei
bestimmt die Stadt den Zeitpunkt des Austausches. Der Austausch wird stadtweit
zum 31.12.2015 abgeschlossen sein, spätestens zu diesem Zeitpunkt haben die
Anschlusspflichtigen die Standplätze, insbesondere etwaige Tonnenhäuschen und
zu benutzende Aufzüge, an die Größe und Abmessungen der neuen Behälter
anzupassen.
e)
Absetzbehälter nach
DIN 30720* und Abrollbehälter nach DIN 30722* („Container“ mit 10 m3 bis 32 m3 Fassungsvermögen);
f)
Mobile Behälterpressen
nach DIN 30730* bzw. Mobile Abfallpressen nach DIN 30370*(„Müllpressen“), die
von Absetz- und Abrollkipperfahrzeugen des AWM aufgenommen, transportiert,
abgesetzt und entleert werden können, soweit sie von der Stadt zur Verfügung
gestellt werden können.
g)
Private mobile
Behälterpressen nach DIN 30730* bzw. mobile Abfallpressen nach DIN 30370* („Müllpressen“),
die von Absetz- und Abrollkipperfahrzeugen des AWM aufgenommen, transportiert,
abgesetzt und entleert werden können.
h)
Unterflurbehälter mit
einem Volumen von 2.500 Litern für Bioabfall (DIN EN 13071/1 und 13071/2).
i)
Unterflurbehälter mit
einem Volumen von 3.000 Litern (DIN EN 13071/1 und 13071/2).
j)
Unterflurbehälter mit
einem Volumen von 4.000 Litern (DIN EN 13071/1 und 13071/2).
k)
Unterflurbehälter mit
einem Volumen von 5.000 Litern (DIN EN 13071/1 und 13071/2).
(2) Die in Abs. 1 Buchstaben a) bis k)
genannten Müllbehälter, die von der Stadt zur Verfügung gestellten Container
und Müllpressen im Sinne von Abs. 1 Buchstabe e) und f) sowie die
Wertstoffbehälter stehen im Eigentum der Stadt und werden den Pflichtigen zur
pfleglichen Benutzung einschließlich Sauberhaltung überlassen. Technische
Änderungen an diesen Behältern dürfen ausschließlich von der Stadt vorgenommen
werden. Mobile Behälterpressen, die im Eigentum der Anschlusspflichtigen
stehen, haben sich in sicherheitstechnisch einwandfreiem Zustand zu befinden. Die Stadt stellt für einzelne
verwertbare Abfälle (z. B. Papier- und Bioabfall, Verkaufsverpackungen aus
Kunst- und Verbundstoffen und Metall einschließlich stoffgleicher Nichtverpackungen
aus Kunststoffen und Metallen im Pilotgebiet Solln2, siehe § 5 a Abs. 2 Satz 5)
Wertstoffbehälter auf; die
Anschlusspflichtigen, die benutzungspflichtigen Personen im Sinne des § 3 Abs.
1 Satz 6 und sonstigen zur Nutzung Berechtigten des anschlusspflichtigen
Grundstücks sind in diesem Fall verpflichtet, nur die dafür bestimmten
getrennten Wertstoffe in diese Behältnisse einzugeben. Die Wertstoffe dürfen
nicht in die Restmülltonne verbracht werden. Die Verwendung von Säcken oder
Tüten ist – mit Ausnahme von Papiertüten bis 7 Liter – bei der Sammlung von Bioabfall
nicht gestattet.
Auf
schriftlichen Antrag der Anschlusspflichtigen reinigt die Stadt im Rahmen der
Kapazitäten gegen Gebühr verschmutzte Müll- und Wertstoffbehälter. Schlösser an
Müll- und Wertstoffbehältern, welche auf frei zugänglichen Grundstücken stehen,
werden auf Antrag der Anschlusspflichtigen ausschließlich durch die Stadt
eingebaut; die Anschlusspflichtigen haben sicherzustellen, dass die
verschließbaren Behälter auch für die sonstigen zur Nutzung des
anschlusspflichtigen Grundstücks Berechtigten zugänglich sind. Auf
schriftlichen Antrag und gegen Gebühr stellt die Stadt eine Zugvorrichtung an
Müll- und Wertstoffbehältern aus Kunststoff (Behälter nach DIN EN 840-2*) mit
einem Volumen von 770 und 1.100 Litern, die eigen bereitgestellt werden müssen
zur Verfügung.
(3)
Die Stadt bestimmt, welche der in Abs. 1 genannten Müllbehälter und welche
Wertstoffbehälter die Pflichtigen zu verwenden haben; sie nimmt hierauf ggf.
schon im Rahmen der Bauberatung Einfluss. Die Verwendung von Containern und
Müllpressen im Sinne von Abs. 1 Buchstabe e) - g) ist nur in besonderen Fällen, z.
B. aus abfuhrtechnischen,
organisatorischen und abfallwirtschaftlichen Gründen, zulässig und bedarf der
ausdrücklichen Zustimmung der Stadt.
(4)
Die Müll- und Wertstoffbehälter im Sinne von Abs. 1 Buchstaben a) bis k) müssen
in so ausreichender Zahl aufgestellt werden, dass sie innerhalb des
vorgesehenen Abfuhrzeitraumes (§ 7 Abs. 1 oder Abs. 2) und bei kurzfristigen
Störungen der Städtischen Hausmüllentsorgung den gesamten auf dem Grundstück
anfallenden Hausmüll ordnungsgemäß aufnehmen können. Mindestens muss je
Grundstück der jeweils kleinste Behälter mit dem geringsten Leerungsrhythmus
zur Verfügung stehen. Die Stadt kann Art, Größe oder Anzahl der zu verwendenden
Müll- und Wertstoffbehälter bestimmen, insbesondere, wenn die vorhandene
Kapazität für die Aufnahme des regelmäßig anfallenden Hausmülls nicht mehr
ausreicht oder die Wirtschaftlichkeit der Entsorgung nicht mehr gegeben ist. Um
die Wirtschaftlichkeit der Entsorgung zu gewährleisten, ist unter Beachtung der
Sätze 1 und 2 die Anzahl der Müll- und Wertstoffbehälter gering zu halten. In
Traghäusern, die nicht der Eigenbereitstellung unterliegen, sind nur
Müllbehälter gemäß § 5 Abs. 1 Buchstaben a) bis b) zulässig. Von Traghäusern
wird dann gesprochen, wenn in Altbauten mit Bestandsschutz Umleergefäße
auf Grund der örtlichen Gegebenheiten grundsätzlich über (Treppen-) Stufen
befördert werden müssen. Die Stadt kann Gemeinschaftstonnen für Wertstoffe
aufstellen. Sind Müll- und Wertstoffbehälter fehlbefüllt,
ist die Stadt berechtigt, die vorgesehene Entleerung abzulehnen und, soweit es
die Art der Befüllung zulässt, bei der nächsten regulären Restmüllleerung eine
gebührenpflichtige Zusatzentleerung
als Hausmüll/Restabfall (vgl. § 3 Abs. 11 Satz 1
Hausmüllentsorgungsgebührensatzung) vorzunehmen.
Wiederholt mit Fremdstoffen befüllte Wertstoffbehälter können von der Stadt
abgezogen und gegen gebührenpflichtige Restmülltonnen im gleichem
wöchentlichen Volumen ersetzt werden.
(5)
Auf Antrag der Pflichtigen kann die Stadt die Bestimmung nach Abs. 4 Satz 3
hinsichtlich Art, Größe oder Anzahl der zu verwendenden Müll- und
Wertstoffbehälter abändern, wenn die Pflichtigen einen geringeren
Entsorgungsbedarf glaubhaft machen. Ein geringerer Entsorgungsbedarf ist bei
einer ununterbrochenen und mindestens drei Monate andauernden Abweichung von
dem vorhandenen Behältervolumen gegeben. Die Stadt ist berechtigt, während
dieses Zeitraumes regelmäßige Füllstandskontrollen der
Müllbehälter vorzunehmen.
(6)
Auf Antrag der Pflichtigen kann die Stadt widerruflich erlauben, dass für
mindestens fünf Nachbargrundstücke auf einem gemeinsamen Müllbehälterstandplatz
Müllbehälter gemeinsam benutzt werden, wenn die einwandfreie Entsorgung dieser
Grundstücke einschließlich der Gebührenzahlung laufend gewährleistet ist; in
besonderen Ausnahmefällen kann die Stadt die Erlaubnis auch für weniger als
fünf Nachbargrundstücke erteilen. Für die Erlaubnis müssen insbesondere
folgende Voraussetzungen vorliegen:
a)
Für jedes Grundstück
muss eine ausreichende Kapazität laufend gewährleistet sein; erforderlicher Weise
kann die Stadt, ggf. auch mit einer nachträglichen Anordnung, bestimmen, dass
neben den tatsächlich aufgestellten Müllbehältern im notwendigen Umfang noch
gemeinsam zu benützende andere Müllbehälter aufgestellt werden.
b)
Mit der Antragstellung
müssen die Pflichtigen gemeinsame Verpflichtungserklärungen vorlegen, nach
denen die Grundstückseigentümer*innen als Gesamtschuldner*innen für die
Hausmüllentsorgungsgebühren sämtlicher gemeinsam benutzter Behälter haften.
Ferner haben die Pflichtigen verbindlich eine bzw. einen
Zustellbevollmächtige*n für den Gebührenbescheid zu benennen.
Jede/-r
Pflichtige ist berechtigt, seinen Antrag nach Satz 1 mit einer Frist von
fünf Monaten zum Jahresende gegenüber der Stadt zurückzunehmen. In diesem
Fall können die übrigen Pflichtigen die gemeinsame Benützung im Sinne des
Satzes 1 fortsetzen, wenn sie die Erfordernisse der Buchstaben a) und b)
erfüllen; anderenfalls erlischt die widerrufliche Erlaubnis zu dem Zeitpunkt
der Zurücknahme. Die Stadt ist ferner zum Widerruf der Erlaubnis gegenüber
jeder bzw. jedem beteiligten Pflichtigen berechtigt, wenn er seinen Hausmüll
unzulässig behandelt, lagert oder ablagert. Jede/-r Pflichtige hat mit
Beendigung der Gemeinschaftsentsorgung auf seinem Grundstück die nach Abs. 4
erforderliche Anzahl von Müllbehältern entsprechend den gesetzlichen
Bestimmungen aufzustellen; ist dies nicht möglich, verbleibt es bei der
gemeinschaftlichen Entsorgung. Änderungen im Behälterbestand bedürfen der
Zustimmung aller Pflichtigen.
(7)
Für die Entsorgung mehrerer Grundstücke durch eine pneumatische
Müllabsauganlage gilt die Sonderregelung in § 8.
(8)
Jeder Müllbehälter darf mit Inhalt nur so schwer sein, dass er in der üblichen
Weise weggeschafft und in das Müllfahrzeug entleert werden kann.
Müllverdichtungseinrichtungen dürfen unbeschadet des § 11 Abs. 3, für
Müllbehälter bis zu 1,1 m³ nicht benutzt werden.
Müllzerkleinerungseinrichtungen sind nur in begründeten Ausnahmefällen zulässig
und müssen der Stadt gemeldet werden. Abfälle dürfen in dem Müllbehälter nicht
verdichtet oder verpresst und nicht in die Müllbehälter eingestampft werden;
außerhalb der Müllbehälter verdichtete oder verpresste Abfälle dürfen nicht in
die Behälter eingegeben werden. Die Müllbehälter dürfen nur soweit
gefüllt werden, dass sich der Deckel noch schließen lässt; sie sind stets
geschlossen zu halten. Die Müllbehälter sind zum Zeitpunkt der Abholung des
Abfalls griffbereit, frei zugänglich und unverschlossen aufzustellen. Die
Pflichtigen haben die Müllbehälter gemäß § 5 Abs. 1 Buchstabe a) bis
g) entsprechend den Anforderungen der Stadt zu kennzeichnen, wenn dies für eine
ordnungsgemäße Entsorgung im Allgemeinen oder im Einzelfall erforderlich ist;
die Stadt kann die Kennzeichnung auch selbst vornehmen.
(9)
Asche und Schlacke oder sonstige Gegenstände und Stoffe in glühendem oder
heißem Zustand dürfen nicht in die zur Abfuhr bereitgestellten Müllbehälter
gegeben werden. Kunststoffmüllbehälter müssen in dauerhafter, gut lesbarer
Aufschrift einen Hinweis tragen, dass sie nicht mit glühenden oder heißen
Gegenständen (insbes. Brennstoffrückständen) gefüllt werden dürfen. In den
Müllbehältern dürfen keine Abfälle verbrannt werden. Ruß darf nur in
Plastiksäcken verfüllt in die Müllbehälter eingegeben werden.
(10)
Speiseabfälle aus anderen Herkunftsbereichen als privaten Haushaltungen, soweit
sie nicht nach § 3 Abs. 1 Ziffer 7 c) Allgemeine Abfallsatzung von der
Entsorgung durch die Stadt ausgeschlossen sind und eine getrennte Erfassung und
Verwertung entsprechend der Gewerbeabfallverordnung den Umständen nach nicht
möglich und nicht zumutbar ist, dürfen nur flüssigkeitsdicht verpackt in
stabilen Plastiksäcken in die Restmüllbehälter eingegeben werden.
(11)
Wegen eines weniger als drei Monate dauernden Rückganges des Hausmüllanfalls
darf die Müllbehälterzahl nicht verringert werden. Übersteigt in einem
Grundstück der Hausmüllanfall aus besonderen Gründen kurzfristig das
Fassungsvermögen der nach Abs. 4 erforderlichen Müllbehälter (z. B. bei
Feiertagen, Umzügen), müssen zusätzlich zu den in Abs. 1 genannten
Müllbehältern ausschließlich Kunststoff-Müllsäcke aus Polyäthylen mit dem Aufdruck
“ Abfallwirtschaftsbetrieb München“ verwendet werden, die im
Abfallwirtschaftsbetrieb München oder über von der Stadt festgelegte Dritte zu
erwerben sind. Die Stadt kann ausnahmsweise für den Fall, dass auf dem
Grundstück aus Platzgründen nicht die erforderliche Anzahl der Müllbehälter
aufgestellt werden kann, auf schriftlichen Antrag gestatten, dass die in Satz 2
genannten Kunststoff-Müllsäcke auch für die regelmäßige Entsorgung des
Grundstücks verwendet werden dürfen.
(12)
Das Durchsuchen der Müll- und Wertstoffbehälter und die Herausnahme von
Gegenständen ist insbesondere zum Schutz der Allgemeinheit vor etwaigen
Gesundheitsgefahren verboten, soweit nicht von Berechtigten nach abhanden
gekommenen Gegenständen gesucht wird. Jegliche Maßnahmen vor Ort zur Behandlung
der in die Müllbehälter eingegebenen Abfälle sind nicht gestattet. Die
Verwendung von Müllschleusen ist nicht zulässig.
§ 5a Trennpflicht
(1)
Die Anschlusspflichtigen und die sonstigen zur Nutzung des anschlusspflichtigen
Grundstücks Berechtigten, haben am Anfallort den
Abfall mindestens zu trennen in:
1.
Verkaufsverpackungen
im
Sinne des Gesetzes über das Inverkehrbringen, die Rücknahme und die hochwertige
Verwertung von Verpackungen (Verpackungsgesetz-VerpackG)
z.B. aus Kunst- und Verbundstoffen, Metall oder Glas
2.
Papierabfall
3.
Bioabfall
4.
Restmüll
5.
Textilabfall
6.
Sperrmüll.
Diese
Pflicht gilt auch für die Personen, die nach § 3 Abs. 1 Satz 6 vom
Anschlusszwang befreit sind.
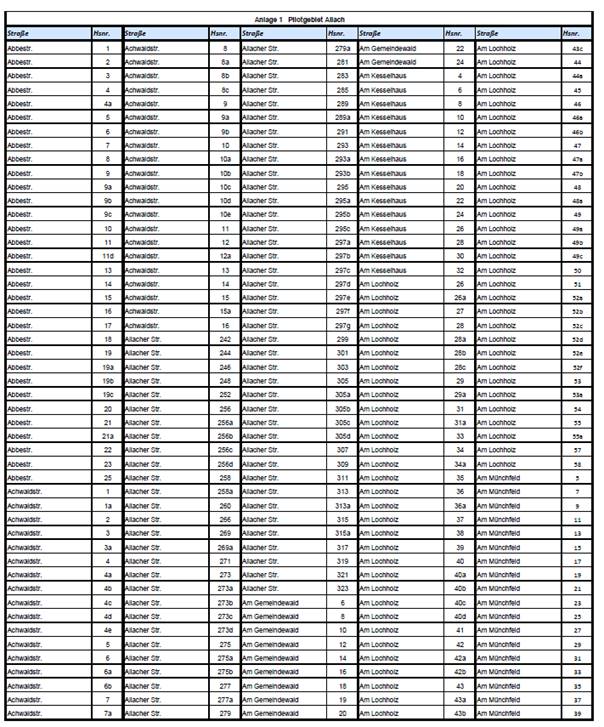
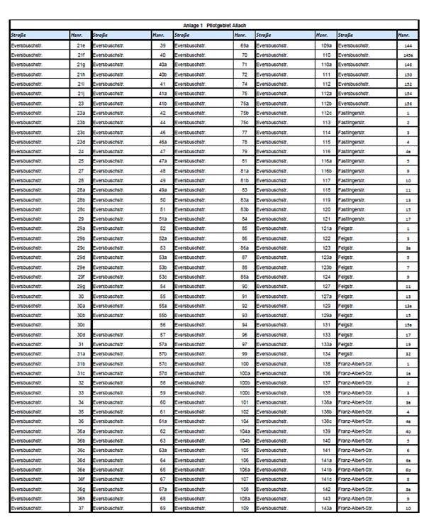
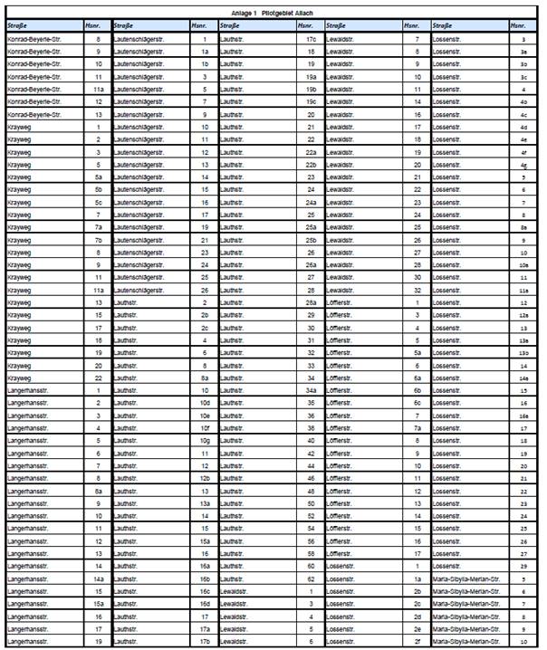
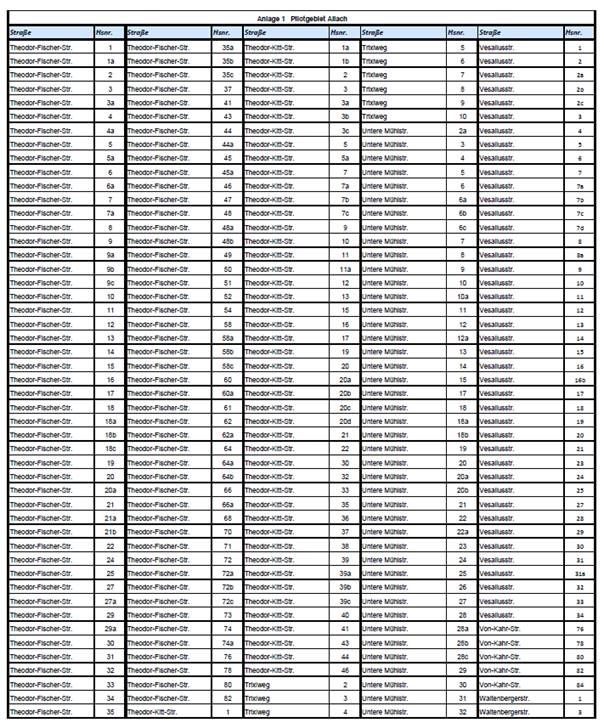
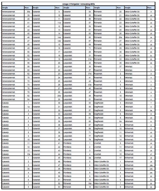
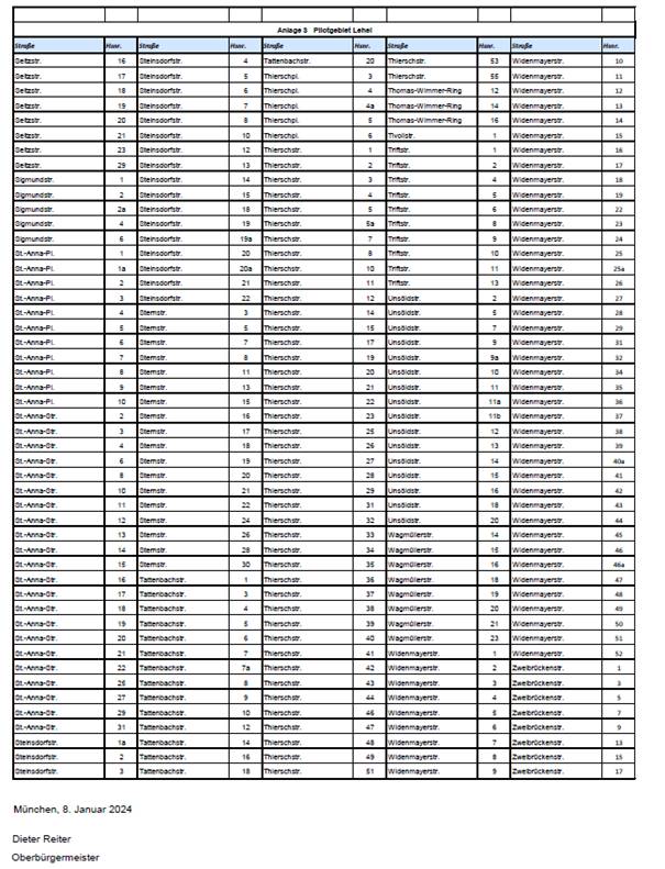
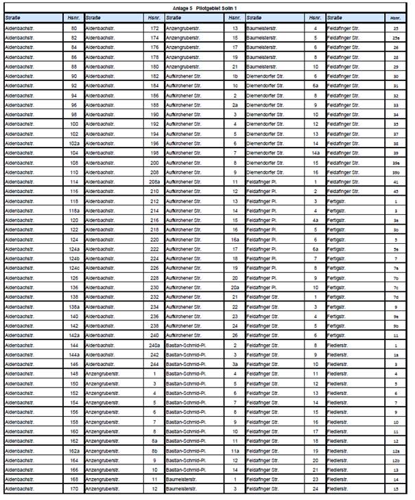
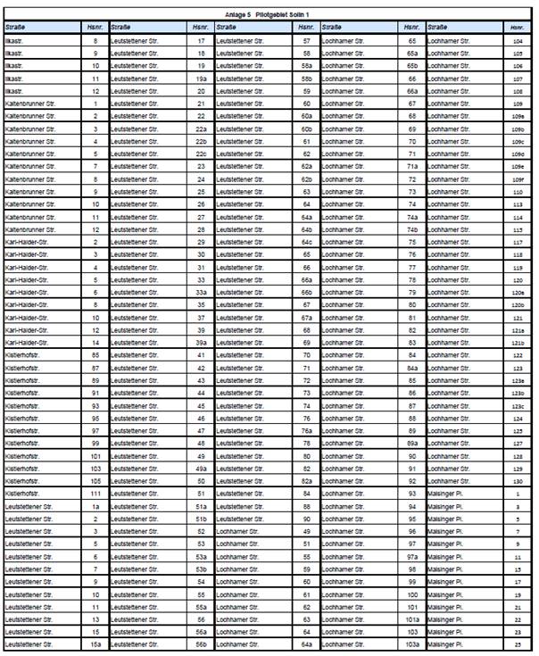
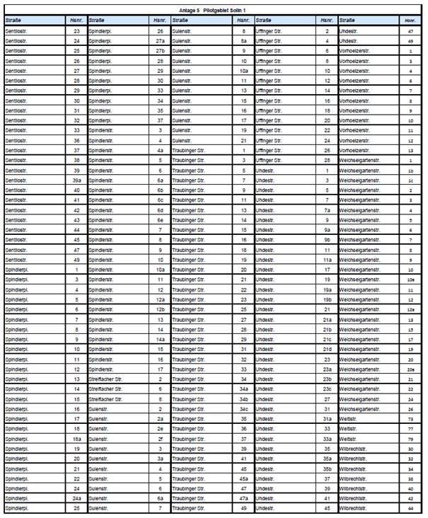
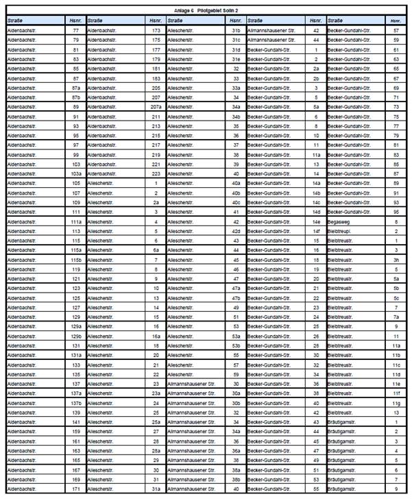
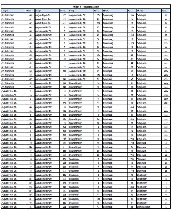
(2) Restentleerte Verkaufsverpackungen im Sinne des VerpackG z.B. aus Kunst- und Verbundstoffen, Metall und Glas sind in das von den Systemen (vgl. § 3 Abs. 16 VerpackG) vorgesehene Erfassungssystem (öffentliche Wertstoffinseln) zu verbringen. Abweichungen von Satz 1 ergeben sich im Rahmen des Pilotversuchs der Stadt zusammen mit den Systemen (2024 bis 2026) aus den nachfolgenden Sätzen; die Pilotgebiete umfassen die im beigefügten Verzeichnis aufgeführten Straßen, Wege und Plätze, die als Anlagen 1 bis 6 zur Hausmüllentsorgungssatzung Bestandteile dieser Satzung sind. Restentleerte Verkaufsverpackungen aus Kunst- und Verbundstoffen und Metall sind in den Pilotgebieten Allach und Schwabing-Mitte der gelben Tonne der Systeme und im Pilotgebiet Lehel den gelben Säcken der Systeme zuzuführen. In den Pilotgebieten Westend-Schwanthalerhöhe und Solln1 sind restentleerte Verkaufsverpackungen aus Kunst- und Verbundstoffen und Metall zusammen mit stoffgleichen Nichtverpackungen aus Kunststoffen und Metallen der Wertstofftonne der Systeme zuzuführen. Im Pilotgebiet Solln2 sind restentleerte Verkaufsverpackungen aus Kunst- und Verbundstoffen und Metall zusammen mit stoffgleichen Nichtverpackungen aus Kunststoffen und Metallen der Wertstofftonne der Stadt (gelb, Behälter mit den Volumen 120 Liter, 240 Liter und 1.100 Liter) zuzuführen. Darüber hinaus ist die Einrichtung eigener Erfassungssysteme für Verkaufsverpackungen aus privaten Haushalten auf anschlusspflichtigen Grundstücken untersagt.
§ 6 Standplätze und Transportwege der Müll- und Wertstoffbehälter
(1) Die Müll- und Wertstoffbehälter sind von den Anschlusspflichtigen so aufzustellen, dass sie vom Abfuhrpersonal behinderungsfrei und ohne Unfallgefahr auf kürzesten, gut begehbaren und für Großbehälter befahrbaren Wegen erreicht werden können; dazu gehört insbesondere auch, dass eine Randsteinabsenkung vorhanden ist.
Soweit geeignete Zufahrten vorhanden sind, entscheidet die Stadt auch darüber, ob zum Zweck der Müllabfuhr mit Abfuhrfahrzeugen in Grundstücke zu fahren ist.
Am Abfuhrtag sind Grundstückseinfriedungen für die Müllübernahme offen zu halten.
Die Stadt kann im Einzelfall den Standplatz bestimmen oder, wenn von den Anschlusspflichtigen die in den § 5 und § 6 genannten Voraussetzungen nicht geschaffen werden, die Eigenbereitstellung der Müllbehälter und Wertstoffbehälter verlangen.
In diesem Fall oder soweit die Stadt ausnahmsweise von den Erfordernissen der Sätze 1 bis 3 absieht, haben die Pflichtigen die Müll- und Wertstoffbehälter laufend auf eigene Veranlassung und Kosten am Abfuhrtag vor der Grundstückseinfriedung oder davon abweichend an einem von der Stadt vorgegebenen Bereitstellungsplatz so aufzustellen, dass sie ohne Schwierigkeiten und Zeitverlust entleert werden können; Fahrzeuge, Fußgänger*innen und Radfahrer*innendürfen durch die Aufstellung der Müll- und Wertstoffbehälter nicht behindert oder gefährdet werden. Nach der Leerung sind sie unverzüglich an ihren gewöhnlichen Standplatz zurückzubringen.
Bei Bauten, die nach dem 12.12.1995 erstellt wurden, sowie sonstigen Vorhaben, die eine für die Mülleinsammlung relevante Veränderung der Situation vor Ort, beispielsweise am Müllbehälterstandplatz, dem Zugang oder der Zufahrt zur Folge haben, darf der Standplatz nicht weiter als 15 Meter von der nächsten mit Müllsammelfahrzeugen befahrbaren Zufahrtsmöglichkeit entfernt sein, andernfalls haben die Anschlusspflichtigen die Müll- und Wertstoffbehälter am Abfuhrtag vor der Grundstückseinfriedung oder davon abweichend an einem von der Stadt vorgegebenen Bereitstellungsplatz bereitzustellen. Dies gilt auch, wenn der Müllbehälterstandplatz aus tatsächlichen oder rechtlichen Gründen nicht mehr mit dem Müllfahrzeug angefahren werden kann bzw. die Mülleinsammlung nicht mehr entsprechend den Bestimmungen dieser Satzung von der Stadt durchgeführt werden kann. Sätze 5 und 6 gelten entsprechend.
Beträgt die Entfernung zwischen 15 Metern und 80 Metern, können die Anschlusspflichtigen im Einzelfall gegen eine Sondergebühr die Müll- und Wertstoffbehälter von der Stadt vom Standplatz abholen lassen (Vollservice 15plus); für Bauten, die nach dem 01.01.2022 fertiggestellt wurden gilt dies nur bis zu einer Entfernung von 30 Metern. Voraussetzung ist, dass der Zugang zum Standplatz befestigt, gut begehbar, für Großbehälter befahrbar ist und im Übrigen der Standplatz und der Zugang den Anforderungen dieser Satzung entsprechen und sich der Antrag auf alle Behälter pro Standplatz bezieht.
Sofern dem Abfallwirtschaftsbetrieb München von den Anschlusspflichtigen Schlüssel zur Gewährleistung der Müll- bzw. Wertstoffübernahme zur Verwahrung und zum Gebrauch übergeben werden, haftet die Stadt nur bei Vorsatz und grober Fahrlässigkeit. Die Stadt kann im Einzelfall die Annahme von Schlüsseln verweigern.
Müllbehälter im Sinne des § 5 Abs. 1 Buchstaben e) bis g) (Container und Müllpressen) müssen an einer Stelle aufgestellt werden, die für einen Lastkraftwagen gut erreichbar ist und an dem der Müllbehälter sicher aufgenommen werden kann. Anderenfalls ist der Müllbehälter für den Abtransport an einem geeigneten Ort zur Abholung bereitzustellen. Dabei sind die Behälter so auf- bzw. bereitzustellen, dass sie vom Abfuhrpersonal der Stadt ohne weitere Verrichtungen aufgenommen werden können. Die oder der Abfallbesitzer*in hat vor der Abholung sicherzustellen, dass diese Behälter verkehrssicher sind, das heißt insbesondere, sie sind unbeschädigt, verschlossen und tragen ein gültiges Prüfzeichen. Müllbehälter im Sinne des § 5 Abs. 1 Buchstaben h) bis k) (Unterflurbehälter) müssen an einem geeigneten Standplatz situiert sein. Die Herrichtung dieses Standplatzes obliegt den Grundstückseigentümer*innen und ist mit den zuständigen Behörden der Landeshauptstadt München abzustimmen. Das Nähere wird zwischen der Landeshauptstadt München / Abfallwirtschaftsbetrieb München und den Grundstückseigentümer*innen vereinbart.
Kann ein
Standplatz für Unterflurbehälter auf privatem Grund nicht eingerichtet werden,
so kann die zuständige Behörde einen unterflurigen
Standplatz mit Unterflurbehälter auf öffentlichem Grund herrichten und die nach
§ 3 Abs. 2 Satz 2 Pflichtigen sind zur Benutzung der unterflurigen
Abfallbehälter verpflichtet.
(2)
Die Stadt nimmt im Rahmen der Baubetreuung erforderlichenfalls darauf Einfluss,
dass die Zufahrten zu den Standplätzen zu den Müll- und
Wertstoffbehältern ausreichend befestigt und
tragfähig sind. Bei der Wahl der Standplätze ist ferner darauf zu achten, dass
die
Müll-/Wertstoffbehälter nicht durch Geruch, Lärm, Staub und Ungeziefer auf
Wohn- und Geschäftsräume einwirken können. Die Müll-/Wertstoffbehälter sollten
insbesondere nicht unmittelbar unter oder neben Fensteröffnungen aufgestellt
werden. Erforderlichenfalls bestimmt auch in den Fällen der Sätze 2 und 3 die
Stadt ihren Standplatz. Die Kunststoff-Müllsäcke (§ 5 Abs. 11 Satz 2) müssen
fest verschlossen neben den Müllbehältern bereitgestellt werden.
(3)
Für Standplätze der Müll- und Wertstoffbehälter gilt Folgendes:
a)
Standplätze in
Gebäuden sollten in besonderen, gut belüftbaren
Räumen angelegt werden.
Im Übrigen wird auf die einschlägigen Vorschriften zur Aufbewahrung fester
Abfallstoffe innerhalb von Gebäuden auf die Bayerische Bauordnung in der
jeweils geltenden Fassung verwiesen.
b)
Standplätze im Freien
müssen befestigt sein.
c)
Sind Standplätze
notwendigerweise in der Vorgartenzone geplant, ist das Planungsrecht zu prüfen.
Entsprechende Befreiungen sind zu beantragen.
Im Übrigen sind die einschlägigen Vorschriften, insbesondere des Baurechts und des Brandschutzes zu beachten.
(4)
Die Standplätze für die Müll- und Wertstoffbehälter sind stets sauber zu
halten. Es ist für jedermann verboten, Abfälle und Wertstoffe neben die
Müll-/Wertstoffbehälter oder in fremde Müll‑/Wertstoffbehälter
zu legen. Die Anschlusspflichtigen haben dafür zu sorgen, dass die Bewohner*innen
der ihnen gehörenden Grundstücke die Standplätze sauber halten. Die Standplätze
für die Müll‑/Wertstoffbehälter sind ferner, soweit dies nach den
örtlichen Verhältnissen möglich ist, vor Witterungseinflüssen zu schützen. Die
Standplätze der Müll-/Wertstoffbehälter müssen ohne Unfallgefahr und
Behinderung zugänglich sein. Die Zugänge zu den Standplätzen sind
erforderlichenfalls von Schnee zu räumen und bei Winterglätte zu bestreuen. Die
Standplätze und deren Zugänge sind so einzurichten, dass die Einhaltung der
Vorschriften zur Unfallverhütung, insbesondere der Müllbeseitigung (DGUV
Vorschrift 43/44**), der Sammlung und des Transports von
Abfall (DGUV Regel 114-601**) und der Fahrzeuge (DGUV Vorschrift 70/71**),
gesichert ist. Soweit dies zur Einhaltung der Anforderungen an den Standplatz
und die Transportwege erforderlich ist, kann die Stadt von den
Anschlusspflichtigen (oder sonst zur Nutzung des anschlusspflichtigen
Grundstücks Berechtigten) insbesondere das Anbringen von Überbrückungshilfen zur
Überbrückung von Hindernissen, Feststellvorrichtungen und Schrammschutz
verlangen. Für Neubauten, die nach dem 01.01.2017 fertiggestellt wurden, sowie
sonstigen Vorhaben, die eine für die Mülleinsammlung relevante Veränderung der
Situation vor Ort, beispielsweise am Müllbehälterstandplatz, dem Zugang oder
der Zufahrt zur Folge haben, sind baulich hergestellte Neigungen (z. B. Rampen,
Tiefgaragenzufahrten) verboten. Im Übrigen gilt Ziffer 4.1 der Technischen
Regeln für Arbeitsstätten ASR A 1.8, wenn die Ergebnisse der
Gefährdungsbeurteilung die sichere Benutzung der Schrägrampen Neigungsflächen erwarten
lassen; für den manuellen Transport von Müllgroßbehältern darf die Neigung maximal
6 % betragen.
§ 7 Abfuhr des Hausmülls und der Wertstoffe
(1)
Die Städtische Hausmüllentsorgung erbringt die ihr gemäß § 1 Abs. 1
Satz 2 obliegende Leistung für Abfälle zur Beseitigung einmal wöchentlich. Der
Abfuhrturnus für die aufgestellten Wertstoffbehälter erfolgt üblicherweise 14-täglich; Abweichungen
können von der Stadt festgelegt werden.
(2)
Die Anschlusspflichtigen können beim Abfallwirtschaftsbetrieb München (Georg-Brauchle-Ring 29, 80992 München) mit schriftlichem Antrag
verlangen, ihren Abfall 14-täglich zu entsorgen, wenn der Abfall in einem
Müllbehälter gemäß § 5 Abs. 1 Buchstabe a), b), c) oder d) angesammelt wird.
Die Stadt bestimmt den Zeitpunkt des Beginns der 14-täglichen Entsorgung.
Stellt sich heraus, dass eine 14-tägliche Entsorgung des Grundstücks nicht
ausreicht, verfährt die Stadt wieder entsprechend Abs. 1.
(3)
Mehrmals wöchentlich wird abgefahren, wenn aus räumlichen Gründen in einem
Grundstück nicht genügend Müllbehälter für eine wöchentlich einmalige Abfuhr
aufgestellt werden können oder sonstige zwingende Gründe, insbesondere des
Umweltschutzes (z. B. vermehrte Geruchsbelästigung) es gebieten. Die
Entscheidung, ob mehrmals wöchentlich abgefahren wird, trifft die Stadt.
§ 8 Pneumatische Müllabsauganlage für mehrere Grundstücke
(1)
Eine pneumatische Müllabsauganlage im Sinne dieser Satzung liegt vor, wenn
Hausmüll aus mehreren Grundstücken über Abwurfschächte und Rohrleitungen
mittels einer pneumatischen Absaugevorrichtung
automatisch zu einer gemeinsamen, mit Containern ausgestatteten Sammeleinrichtung
befördert wird. Der Betrieb solcher Anlagen ist nur zulässig, wenn die
einwandfreie Entsorgung der angeschlossenen Grundstücke nach Maßgabe der
nachfolgenden Bestimmungen und der Hausmüllentsorgungsgebührensatzung laufend
gewährleistet ist. Bei Neubauten, die nach dem 01.01.2017 fertiggestellt
werden, sind pneumatische Müllabsauganlagen und Müllabwurfschächte verboten.
(2)
Die Grundstückseigentümer*innen sind auch beim Anschluss an eine pneumatische
Anlage Besitzer*in des Hausmülls im Sinne des § 4 Abs.
1 Satz 1 mit den sich hieraus oder aus den nachfolgenden Bestimmungen
ergebenden Pflichten. Sie haben in Erfüllung dieser Pflichten der Stadt durch
Vorlage eines Vertrages eine*n gemeinsam*n Beauftragte*n zu benennen, die oder
der die pneumatische Anlage für sie wartet und betreibt. In diesem Vertrag ist
ferner zu regeln, dass die oder der Beauftragte
a)
für die in der
Sammeleinrichtung aufgestellten Container die Hausmüllentsorgungsgebühren an
die Stadt entrichtet;
b)
den Grundstückseigentümer*innen
nach dem im Vertrag vorzusehenden Verteilungsschlüssel entsprechende Anteile an
den Gebühren in Rechnung stellt;
c)
aus anderen, als
technisch notwendigen Gründen nicht befugt ist, die pneumatische Anlage ganz
oder teilweise außer Betrieb zu setzen.
Die Grundstückseigentümer*innen haben mit Vorlage des Vertrages gegenüber der Stadt die Vertragsbestimmungen und insbesondere den Verteilungsschlüssel schriftlich anzuerkennen.
(3)
Gegenüber der Stadt ist auch die oder der Beauftragte Besitzer*in des Hausmülls im Sinne des § 4 Abs. 1 Satz 1 mit allen
sich hieraus bzw. aus den nachfolgenden Bestimmungen ergebenden Pflichten.
Hiernach ist sie oder er verpflichtet, den Hausmüll über die in der
Sammeleinrichtung aufgestellten Container der Städtischen Hausmüllentsorgung zu
überlassen; dies beinhaltet insbesondere:
a)
die Pflicht, die
pneumatische Anlage laufend ordnungsgemäß zu betreiben und zu warten
sowie
b)
das Verbot, sie aus
anderen, als technisch notwendigen Gründen außer Betrieb zu setzen.
Erforderlichenfalls
kann die Stadt gegenüber der oder dem Beauftragten Maßnahmen nach § 11 treffen.
(4)
Fällt die pneumatische Anlage aus technischen oder sonstigen Gründen ganz oder
für einen Teil der angeschlossenen Grundstücke aus, ist dies von der oder dem
Beauftragten oder von den Grundstückseigentümer*innen unverzüglich
der Stadt anzuzeigen. Die Stadt kann in diesem Fall – unbeschadet der
Möglichkeit, nach Abs. 3 letzter Satz gegenüber der oder dem Beauftragten
vorzugehen – gegenüber den betroffenen Grundstückseigentümer*innen
die erforderlichen Anordnungen treffen.
Insbesondere
kann sie anordnen, dass
a)
kurzfristig nach dem
Ausfall der Anlage auf dem Grundstück die erforderliche Anzahl von
gebührenpflichtigen Müllbehältern gemäß § 5 Abs. 1 Buchstabe d)
aufzustellen sind; diese Behälter werden von der Stadt beschafft;
b)
zur Vermeidung von
Umweltbelästigungen alle erforderlichen Maßnahmen zu treffen sind, die
sicherstellen, dass während des Ausfalls der Anlage kein Hausmüll in die
Abwurfschächte und Rohrleitungen gelangt.
(5)
Während des Ausfalls der Anlage ist es für jedermann verboten, Hausmüll und
andere Abfälle in die Abwurfschächte zu verbringen.
§ 9 Meldepflicht
(1)
Die Pflichtigen im Sinne des § 3 Abs. 1 haben einen Wechsel in der Person der Anschlusspflichtigen
unverzüglich der Stadt (Abfallwirtschaftsbetrieb München, Georg-Brauchle-Ring 29, 80992 München) schriftlich anzuzeigen.
Ferner ist derselben Stelle die Errichtung von Neubauten spätestens einen Monat
vor der bezugsfertigen Herstellung oder – bei früherer tatsächlicher Benützung
– vor der Ingebrauchnahme schriftlich anzuzeigen.
(2)
Die Pflichtigen haben ferner Änderungen im Bestand der Müllbehälter und
Änderungen des Leerungsrhythmus der in Abs. 1 genannten Stelle unverzüglich
schriftlich anzuzeigen. Gleiches muss erfolgen, wenn der Gebührenbescheid mit
der in Anspruch genommenen Leistung nicht übereinstimmt.
§ 10 Betreten des Grundstücks; Auskunftspflicht
Die
Beauftragten der Stadt können, um die Einhaltung dieser Satzung zu überprüfen
und die Voraussetzungen der Gebührenberechnung feststellen zu können,
verlangen, dass ihnen ungehinderter Zutritt zum Grundstück gewährt wird. Die Anschlusspflichtigen
haben über alle die Müllentsorgung und Gebührenberechnung betreffenden Fragen
Auskunft zu geben; dazu gehören insbesondere Angaben über die Grundstückseigentümer*innen
und die sonstigen zur Nutzung des anschlusspflichtigen Grundstücks Berechtigten
sowie über die Art, die Beschaffenheit und die Menge der Abfälle, die der Stadt
überlassen werden müssen. Auf Verlangen der Stadt haben die
Anschlusspflichtigen sicherzustellen und nachzuweisen, dass die von der Stadt
bei der Mülleinsammlung zu benutzenden Aufzüge und sonstigen technischen
Einrichtungen technisch einwandfrei sind und keine Unfallgefahr darstellen.
§ 11 Anordnungen für den Einzelfall; Zwangsmittel; Befreiungen
(1)
Die Stadt kann zur Erfüllung der nach dieser Satzung bestehenden
Verpflichtungen Anordnungen für den Einzelfall erlassen.
(2)
Für die Erzwingung der in dieser Satzung vorgeschriebenen Handlungen, Duldungen
oder Unterlassungen gelten die Vorschriften des Bayer. Verwaltungszustellungs-
und Vollstreckungsgesetzes.
(3)
Die Verpflichteten können auf schriftlichen Antrag von der Einhaltung einzelner
Vorschriften dieser Satzung befreit werden, wenn sie dafür ein berechtigtes
Interesse nachweisen und wenn insbesondere betriebliche Interessen der Stadt,
die Wirtschaftlichkeit der kommunalen Abfallentsorgung sowie das Wohl der
Allgemeinheit nicht beeinträchtigt werden.
Die
Voraussetzungen für die Befreiung sind im Antrag zu erläutern und durch
geeignete Unterlagen (z. B. Pläne, Bescheinigungen) von der bzw. dem
Abfallbesitzer*in nachzuweisen. Die Befreiung wird unter Widerrufsvorbehalt
erteilt und kann mit Nebenbestimmungen versehen werden.
§ 12 Gebühren
Die
Stadt erhebt für die Benützung ihrer öffentlichen Abfallentsorgungseinrichtung
Gebühren nach Maßgabe einer besonderen Gebührensatzung.
§ 13 Ordnungswidrigkeiten
(1)
Nach Art. 24 Abs. 2 Satz 2 der Gemeindeordnung für den Freistaat Bayern (GO)
kann mit Geldbuße belegt werden, wer vorsätzlich oder fahrlässig
a)
als Anschluss- oder Benutzungspflichtige*r
im Sinne des § 3 Abs. 1 und 2
1.
den Hausmüll der Stadt
(Städtische Hausmüllentsorgung) nicht überlässt (Verstoß gegen Anschluss- und
Benutzungszwang nach § 4 Abs. 1 Satz 1 i.V.m. § 3
Abs. 1 und 2);
1a. entgegen § 2 Abs.
2 Buchstabe a) dem Hausmüll Hausratsperrmüll oder Problemabfall im Sinne der Hausratsperrmüll-, Wertstoff- und
Problemmüllsatzung zufügt;
2.
der in § 3 Abs. 4 Satz
3 vorgesehenen Meldepflicht nicht nachkommt;
3.
gegen die in § 4 Abs.
1 Sätze 1 bis 3 geregelten Pflichten der Abfallbesitzer*innen verstößt;
4.
entgegen § 4 Abs. 3 die
dort genannten für Menschen gefährlichen Abfälle aus Einrichtungen des
Gesundheitsdienstes, wie z. B. Arztpraxen, Zahnarztpraxen, Tierheimen,
Tierversuchsanlagen, Laboratorien, Apotheken oder ähnlichen Herkunftsorten
nicht in der angegebenen Weise verpackt einsammelt, transportiert oder zu den
städtischen Abfallentsorgungsanlagen anliefert, oder die Einsammel- bzw.
Transportgefäße nicht nach Vorschrift der Stadt verschließt oder sie nicht nach
Vorschrift der Stadt in einem abschließbaren Raum unterbringt;
5.
andere als die in § 5
Abs. 1 zugelassenen Müllbehälter aufstellt;
6.
entgegen § 5 Abs. 2
Satz 1 die überlassenen Müll- und Wertstoffbehälter nicht pfleglich behandelt
oder nicht sauber hält;
7.
entgegen § 5 Abs. 2
Satz 4 in die Wertstoffbehälter andere als die dort zugelassenen Wertstoffe
hineingibt;
8.
entgegen § 5 Abs. 2
Satz 5 Wertstoffe in die Restmülltonne verbringt;
9.
entgegen § 5 Abs. 4
Satz 1 Müll- und Wertstoffbehälter in nicht ausreichender Zahl aufstellt;
10. entgegen § 5 Abs. 8 Satz 2 Müllverdichtungseinrichtungen
benutzt;
11. entgegen § 5 Abs. 8 Satz 4 in Müllbehälter eingegebene
Abfälle verdichtet oder verpresst oder in den Müllbehälter einstampft bzw.
außerhalb der Müllbehälter verdichtete oder verpresste Abfälle in die
Müllbehälter eingibt;
12. entgegen § 5 Abs. 8 Satz 7 eine Kennzeichnung nicht
vornimmt oder der Stadt die Kennzeichnung nicht ermöglicht oder eine
angebrachte Kennzeichnung zerstört, entfernt oder sonst unbrauchbar macht;
13. entgegen § 5 Abs. 10 Speiseabfälle nicht flüssigkeitsdicht
verpackt in die städtischen Restmüllbehälter einfüllt;
14. entgegen § 5 Abs. 12 Satz 1 Müll- oder Wertstoffbehälter
durchsucht und Gegenstände herausnimmt;
15. entgegen § 5 Abs. 12 Satz 2 in Müllbehälter eingegebene
Abfälle behandelt;
16. entgegen § 5 Abs. 12 Satz 3 Müllschleusen verwendet;
17. entgegen § 5 a Abs. 2 Satz 6 eigene Erfassungssysteme für
Verkaufsverpackungen auf anschlusspflichtigen Grundstücken aufstellt;
18. entgegen § 5 a Abs. 2 Sätze 1 bis 5 Verkaufsverpackungen
nicht in die dafür vorgesehenen Erfassungssysteme verbringt;
19. entgegen § 6 Abs. 4 Satz 1 die Standplätze nicht sauber
hält;
20. gegen die Vorschriften des § 6 Abs. 1 Sätze 1 bis 3 über
die Standplätze der Müll-/ Wertstoffbehälter und das Offenhalten von
Grundstückseinfriedungen verstößt;
21. nicht gemäß § 6 Abs. 1 Satz 5 die Müll-/Wertstoffbehälter
am Abfuhrtag außerhalb der Grundstückseinfriedung aufstellt;
22. gegen die Vorschriften des § 6 Abs. 2 und 3 über die
Standplätze der Müll-/Wertstoffbehälter verstößt;
23. entgegen § 6 Abs. 4 Satz 2, auch ohne Anschluss- oder Benutzungspflichtige*r
zu sein, Abfälle neben die Müll-/Wertstoffbehälter oder in fremde
Müll-/Wertstoffbehälter legt;
24. entgegen § 6 Abs. 4 Satz 4 bis 6 die
Müll-/Wertstoffbehälterstandplätze nicht gegen Witterungseinflüsse schützt oder
die Zugänge zu ihnen nicht ohne Unfallgefahr und Behinderung zugänglich hält,
von Schnee räumt oder bei Winterglätte bestreut oder einer Anordnung der Stadt
nach § 6 Abs. 4 Satz 8 nicht nachkommt;
25. gestrichen;
26. bei Anschluss an eine pneumatische Müllabsauganlage im
Sinne des § 8 Abs. 1 in den Fällen des § 8 Abs. 4 entgegen einer Anordnung der
Stadt die Müllgroßbehälter nicht aufstellt oder nicht die dort genannten
Maßnahmen trifft;
27. entgegen § 8 Abs. 5, auch ohne Anschluss- oder Benutzungspflichtige*r
zu sein, während des Ausfalls der pneumatischen Anlage Abfälle in die
Abwurfschächte verbringt;
28. seiner Melde- bzw. Anzeigepflicht gemäß § 9 Abs. 1 bzw.
Abs. 2 oder seiner Auskunftspflicht gemäß § 10 Satz 2 nicht oder nicht
rechtzeitig, nicht vollständig oder nicht mit den richtigen Angaben nachkommt;
29. gegen Einzelanordnungen im Sinne des § 11 verstößt;
b)
als Beauftragte*r im
Sinne des § 8 Abs. 2 Satz 2 und 3
1.
den Hausmüll aus
pneumatischen Anlagen nicht gemäß § 8 Abs. 3 Satz 1 und 2 der Stadt überlässt;
2.
die Anlage gemäß § 8
Abs. 3 Satz 2 Buchstabe a) nicht laufend ordnungsgemäß betreibt und wartet bzw.
nach Buchstabe b) sie aus anderen, als technisch notwendigen Gründen außer
Betrieb setzt.
(2)
Andere Straf- und Bußgeldvorschriften, insbesondere § 326 Abs. 1 StGB und § 69
KrWG bleiben unberührt.
§ 14 Inkrafttreten
(1) Diese Satzung tritt am 1. Januar 2002 in Kraft.
(2) Gleichzeitig tritt die Hausmüllabfuhrsatzung vom 29. November 1990 (MüABl. S. 426), zuletzt geändert durch Satzung vom 28. März 2000 (MüABl. S. 86), außer Kraft.
Anlagen






























* Die DIN-Normen sind bei der Beuth Verlag GmbH, Berlin, zu beziehen. Sie können beim Abfallwirtschaftsbetrieb München, Georg-Brauchle-Ring 29, 80992 München zu den allgemeinen Dienstzeiten eingesehen werden. Maßgebend sind die DIN-Normen in ihrer jeweils gültigen Fassung.
** Maßgebend sind die Vorschriften in ihrer jeweils gültigen Fassung. Sie sind abrufbar unter http://publikationen.dguv.de/ und können beim Abfallwirtschaftsbetrieb München, Georg-Brauchle-Ring 29, 80992 München zu den allgemeinen Dienstzeiten eingesehen werden.